氣液同采氣井和伴生氣井的氣液計量準確性是目前面臨的一大難題,XF - 2005Ⅲ兩相流量計采用多管束旋流分離器將氣液兩相進行高效分離,分別利用孔板流量計和楔形流量計實現氣液在線計量,并具有液相測量補償和含水率測定功能,大大提高了計量精度,同時計算機模塊可以實現計量數據的直讀和存儲,有利于后期分析。現場應用表明,氣的計量誤差小于 2. 29% ,液的計量誤差小于 2. 33% ,滿足現場需求。
在油氣井的地面測試工作中,地面流程通常采用兩相分離器對產出的氣液進行分離,液體進入計量罐,利用人工檢尺方法進行計量,氣體進入測試管線,通過孔板流量計進行求產,針對含水井,在流程取樣口處取樣化驗確定含水率。以上工作的不足之處在于人員投入多、工作量大、設備費用高、計量誤差大,不利于油田的資料錄取和動態分析。尤其是對于一些氣液產量較低或氣油比較高的油氣井,更是無法進行準確計量。XF - 2005III 型兩相流量計采用了高效分離裝置、氣液平衡可調節三通閥及密度法測油含水裝置,在測試過程中不更換任何傳感器和相關部件的情況下,均可很好地解決低產量油氣井計量、大氣量油井的氣液分離及油含水測量等問題。
一、結構組成
XF - 2005III 型兩相流量計應用分離與非分離相結合的技術,氣液在裝置內部實現分離,計量完成后可混合在一起進入輸送管網,該裝置適用于單井氣、液兩相流體介質的分別計量,可以取代傳統的測試分離器。
XF - 2005III 型兩相流量計裝置系統主要由過濾器、多管束氣液分離器、液位計、氣體流量計、溫度及壓力傳感器、流量計算機、電動調節三通閥、質量流量計和差壓式液位計組成( 見圖 1) 。

1. 多管束旋流分離器
XF - 2005 Ⅲ型兩相流量計的核心裝置是多管束分離器( 見圖 2) ,它是由 N 個單管管柱組成,這 N個單管組成的管束被環形管所環繞; 另一方面每個單管管柱頂部與總氣管連接到氣相出口,每個單管管柱底部與總液管連接到液相出口。天然氣凝析液通過總入口進入環形管,由環形管垂直向下經開關切向進入每個外圍單管容器進行旋流分離。
每個單管管柱的分離原理為: 利用旋轉氣流所產生的離心力將液體從混合流體中分離出來的裝置 ( 見圖 3) 。在分離罐中混合流體的絕大部分沿器壁呈螺旋狀由上向下向圓錐體底部運動,形成下降的外旋含液氣流,在強烈旋轉過程中所產生的離心力將密度遠遠大于氣體的液體甩向器壁,液體一旦與器壁接觸,便失去慣性力而靠入口速度的動量和自身的重力沿壁面下落。每個單管管柱上部設置有捕霧器,用來進一步提高含液天然氣分離效率。

多管束管柱式旋流分離裝置的優點:
( 1) 傳統單管旋流分離效果對流速有一定要求,當流量降低時分離效果也降低,而組合式多管束旋流分離器可根據現場流量負荷的大小來確定打開或關閉管束的數量,使管束中保持合適流速,分離達到最佳分離效果。
( 2) 多管束旋流分離器具有足夠的容積,克服了分離后的液相沉降時間短,二次分離效率低的缺點。
( 3) 多管束分離裝置可大大提高分離能力,如24 管束分離液量可超過 300 t /d、氣量 30 000 Nm3 / d,遠高于常規單管束旋流分離。
2. 電動調節三通閥
根據不同的液位高度,通過差壓液位傳感器傳送,電動調節三通閥執行不同的開度( 見圖 4) ,使得液位被控制在設定的范圍內,以免出現液路竄氣和氣路竄液,同時可以保證小流量準確計量。

3. 液體流量計
該裝置液體流量計采用的是質量流量計,計量前在計算機系統中設定液位上限、下限值,計量開始后,計算機通過指令控制電動調節三通閥關閉液路,當單管液位超過下限值后,液路緩慢開啟一定開度,流經質量流量計進行計量。按設定時間完成計量后,將質量流量計計量的液體量和管束殘余液體量進行折算,即可得到每天的產液量。
4.氣體流量計
氣體流量計采用改進后的孔板流量計 ( 見圖5) ,該流量計除了用來測量氣體的流量,同時還可以利用氣體中含有液體時孔板會產生差壓脈沖這一固有特性對氣體中帶走的少量液量進行二次測量。

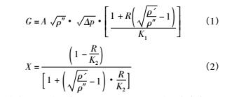
氣液兩相流通過孔板時,在孔板兩側中存在著差壓噪聲,即差壓脈沖。這種噪聲是兩相流流動的固有特性,與兩相流的流量質量、含氣率密切相關。經過氣液兩相流測量工程試驗,應用一塊標準節流孔板配以差壓變送器、壓力變送器、溫度傳感器,可以根據差壓測量平均值及其方差,計算出天然氣和原油兩種介質的流量。其計算公式如下:

式中: G—質量流量,t/h 或 kg /h; X—質量含汽率,即天然氣所占百分比; A—孔板常數,由管道直徑,( 值等所確定; p—測量差壓平均值,kPa; R—差壓脈動( 方差) 與差壓平均值之比; ρ'—油密度,kg /m3 ;ρ″—天然氣密度 kg /m3 ; K1 —經驗常數; K2 —經驗常數。
5. 計算機系統
計算機系統也是該裝置最重要的組成部分,主要功能是實現裝置的計量、自動控制以及小流量控制界面可顯示氣液日產量、油含水、氣液流量累積、溫度、壓力、測量時間,并保留各參數數據、記錄曲線。
二、工作原理
氣液兩相混合物首先流經過濾器過濾后,再進入高效分離器,分離器分離出液相和氣相。氣相部分由純氣相或含液氣相經頂部流出,通過孔板差壓噪聲法對氣相進行測量和對含液氣相中的液相進行二次測量。液體經質量流量計由計算機系統計算并顯示液量,分離器上裝有液位變送器,通過電動調節三通閥用來控制平衡液位平衡,使管束內液位保持在一定范圍內。手動輸入油、水密度值,可以利用密度法測定原油含水率。
油含水計量一直是油田單井計量難題,本裝置使用的是密度法,由質量流量計提供精度達 0. 000 3 g /mL 混合密度信號輸出,保障了低系統誤差。密度法測油含水原理如下:

式中: A—含水百分比; ρ混 —混合體密度; ρ水 —水密度; ρ油 —純油密度。
這里的 ρ水 和 ρ油 在多相流量計算機手動輸入,要求用戶提供準確密度,另通過溫度和壓力作溫壓補償。
三、現場應用
塔中油田單井多數存在產液量高、含水高、氣油比高,給油氣井測試工作帶來了一定困難,XF -2005Ⅲ型兩相流量計裝置的引入成功解決了常規兩相分離器測試求產的局限性。通過對塔中 6 口油井進行測試,分離效果良好,數據精度高( 見表 1) ,數據采集簡單方便,極大提高了測試效率。

四、結論
( 1) XF - 2005III 兩相流量計具有氣液計量精度高,并具有相測量補償和含水率測定功能,能連續在線計量,相關數據既可直讀也可存儲。
( 2) XF - 2005III 兩相流量計具有測量范圍寬,在測試過程中不更換任何傳感器和部件均可滿足測量,24 管束分離液量 0. 5 ~ 300 t /d,氣量 1 000 ~ 30 000 Nm3 /d,油氣比 1 ∶ 10 000 的高量程比,如有更大產量根據不同的情況增加管束數量即可。
( 3) 現場應用表明 XF - 2005III 型兩相流量計克服了常規兩相分離器測試求產的局限性。